Skip to main content
  • Home
    • Admin Login
  • Hydroplate Documents
    • Flood 1
    • Flood 2
    • Flood 3
    • Flood 4
    • Helping or Hindering? - Part 1
    • Helping or Hindering? - Part 2
  • Hydroplate Timeline
  • Forums
  • Creation Come
  • Intolerance in Academia

Creation Controversy

Search form

You are here

  1. Hydroplate Documents

Scanned images for September 21, 1994 Letter from Peter Robinson to Brown and Austin Outlining Mediation Panel Rulings

view the Hydroplate Timeline ...

Date: 

Wednesday, September 21, 1994

 

September 21, 1994 Letter from Peter Robinson to Brown and Austin Outlining Mediation Panel Rulings

Tags: 

  • Austin
  • Brown
  • Mediation
  • Robinson
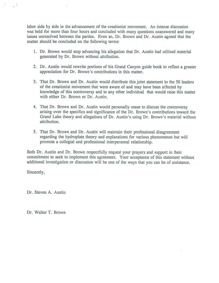
  • Complete Letter from Peter Robinson (Head of Mediation Board) to Walt Brown and Steve Austin telling Austin to use the name Grand Lake because that is the name given to it by its discoverer (Walt Brown). Letter was dated September 21, 1994.
  • September 21, 1994 Letter from Peter Robinson to Brown and Austin Outlining Mediation Panel Rulings
  • Robinson to Brown & Austin pp. 2 and 3, 94-09-21
  • Robinson to Brown & Austin, 94-09-21
  • Austin to Robinson, 94-10-04
‹ Austin to Robinson, 94-08-29 up Complete Letter from Peter Robinson (Head of Mediation Board) to Walt Brown and Steve Austin telling Austin to use the name Grand Lake because that is the name given to it by its discoverer (Walt Brown). Letter was dated September 21, 1994. ›
  • 23 reads